next up previous contents
Nächste Seite: 2.4 Feature-Selektion Aufwärts: 2.3 Automatische Klassifikation Vorherige Seite: 2.3.3 Support Vector Machines   Inhalt

2.3.4 Evaluation von Klassifikation

Für die Evaluation von automatischer Klassifikation lassen sich Precision und Recall (siehe 2.1.1) sinngemäß pro Klasse $ c_j$, also für den Fall der binären Klassifikation, anwenden.

Hierfür läßt sich die Dokumentenmenge wie folgt aufteilen:

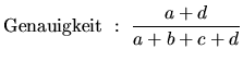
  Dokument gehört zu c Dokument gehört zu $ \overline{c}$
Dokument wurde zu c klassifiziert a b
Dokument wurde zu $ \overline{c}$ klassifiziert c d

Precision und Recall sind dann definiert als

\begin{displaymath}
\begin{array}{lcl}
\mathrm{Precision} & : & \dfrac{a}{a+b}\\
& &\\
\mathrm{Recall} & : & \dfrac{a}{a+c}\\
\end{array}\end{displaymath}

Ein weiteres Gütemaß für die Klassifikatione ist Genauigkeit (accuracy):

$\displaystyle \mathrm{Genauigkeit} : \dfrac{a+d}{a+b+c+d}
$