Oracle8i Administrator's Guide
Release 2 (8.1.6) for Windows NT

A73008-01

Library

Product

Contents

Index

Prev Next

5
Post-Installation Configuration Tasks

This chapter describes some of the configuration tasks you must perform before using products like Oracle interMedia and the Oracle options. Where appropriate, the chapter provides references to other guides for those configuration tasks.

Specific topics discussed are:

Oracle interMedia

Oracle enables file management in a variety of media, from text, to audio, to video. Files in each medium are managed through a specific option such as Oracle interMedia. This section describes interMedia configuration and describes each medium management component. Oracle interMedia is available with Oracle8i Enterprise Edition only.

Audio

Oracle interMedia Audio manages audio data in multiple file formats in an Oracle database. Types of audio data supported include conversations, songs, and other sounds in popular audio file formats. This makes it possible to integrate audio data with other application-specific object-relational data.

Video

Oracle interMedia Video manages video data in multiple video file formats. This makes it possible to integrate video data with other application-specific object-relational data.

Image

Oracle interMedia Image provides image storage, retrieval, and format conversion capabilities through an object data type (ODT). It also supports image storage, using Binary Large Objects (BLOBs), and references to image data residing in external files (BFILEs).

The Image component of Oracle interMedia also comes with a sample demonstration that shows how an image is extracted from an Oracle database.

Locator

Oracle interMedia Locator enables Oracle8i to support online internet-based geocoding facilities for locator applications and proximity queries.

Text

Oracle interMedia Text (formerly called ConText) enables text queries through SQL and PL/SQL from most Oracle interfaces.

By installing Oracle interMedia Text with an Oracle database server, client tools such as SQL*Plus, Oracle Forms, and Pro*C/C++ are able to retrieve and manipulate text in an Oracle database.

Oracle interMedia Text manages textual data in concert with traditional data types in an Oracle database. When text is inserted, updated, or deleted, Oracle interMedia Text automatically manages the change.

Oracle interMedia Audio, Video, Image, and Locator Configuration Responsibilities

Review the following table to determine how to configure Oracle interMedia Audio, Video, Image, and Locator.

If You...  Then... 

Installed Oracle interMedia through the Oracle8i Enterprise Edition Typical installation type path 

No manual configuration is required. All tasks described in "Configuring Oracle interMedia Audio, Video, Image, and Locator" are automatically performed. 

Installed both Oracle interMedia and Oracle8i Server together through the Oracle8i Enterprise Edition Custom installation type path 

Oracle Database Configuration Assistant starts at the end of installation. If you select either of the following options:

  • Custom

  • Typical, and then select the Create new database files suboption

Oracle Database Configuration Assistant asks if you want Oracle interMedia to be automatically configured. 

Installed Oracle interMedia during a separate installation from Oracle8i Enterprise Edition 

You must manually configure Oracle interMedia by either:

 

Manually copy your Oracle7 LISTENER.ORA and TNSNAMES.ORA files into your Oracle8i network directory 

You must modify the TNSNAMES.ORA and LISTENER.ORA network configuration files on your server to enable external procedure calls to work and interMedia to function properly. Follow the tasks in "Configuring Net8 for External Procedures" in Chapter 8 of Net8 Administrator's Guide. 

Want to use the demos 

Perform the tasks described for the configuration of Oracle interMedia sample demos below. 

Want to build the Oracle interMedia Image sample demonstration 

Install a C compiler. 

Want to use Oracle Visual Information Retrieval with Oracle interMedia 

Install Oracle interMedia first. If you used the Custom Installation type and selected both components for installation at the same time, Oracle interMedia was installed first. 

Configuring Oracle interMedia Audio, Video, Image, and Locator

To configure Oracle interMedia Audio, Video, Image, and Locator:

  1. Start SQL*Plus:

    C:\> SQLPLUS
    
  2. Connect to the database with the SYS account:

    SQL> CONNECT SYS/PASSWORD AS SYSDBA
    
  3. Start the database (if necessary):

    SQL> STARTUP
    
  4. Run the ORDINST.SQL script:

    SQL> @ORACLE_BASE\ORACLE_HOME\ORD\ADMIN\ORDINST.SQL
    
  5. Run the IMINST.SQL script:

    SQL> @ORACLE_BASE\ORACLE_HOME\ORD\IM\ADMIN\IMINST.SQL
    
  6. Exit SQL*Plus:

    SQL> EXIT
    

Configuring Oracle interMedia, Audio, Video, Image, and Locator Demos

To configure Oracle interMedia Audio demonstrations:

  1. Go to the ORACLE_BASE\ORACLE_HOME\ORD\AUD\DEMO directory.

  2. Follow the instructions in the README.TXT file.

To configure Oracle interMedia Video demonstrations:

  1. Go to the ORACLE_BASE\ORACLE_HOME\ORD\VID\DEMO directory.

  2. Follow the instructions in the README.TXT file.

To configure Oracle interMedia Image demonstrations:

  1. Go to the ORACLE_BASE\ORACLE_HOME\ORD\IMG\ADMIN directory.

  2. Read the README file in this directory for instructions on configuring the demo.

  3. Make the interMedia Image demos for a Microsoft C compiler by entering:

    C:\> MAKE
    

An additional demonstration resides in the following location:

ORACLE_BASE\ORACLE_HOME\ORD\IMG\DEMO\VC\IMGSAMP\SIMPIMG

In order to build and run the demonstration, you must first modify the MAKEFILE to adapt it to your environment.

To configure Oracle interMedia Locator demonstrations:

  1. Go to the ORACLE_BASE\ORACLE_HOME\MD\DEMO\GEOCODER directory.

  2. The NH_CS.SQL file contains the sample data that can be loaded into Oracle8i. GEOHTTP.SQL and GEOLOCAT.SQL are examples that show the use of Locator functionality. GEOINDEX.SQL contains examples of data indices created by using the Locator.

Oracle interMedia Text Configuration Responsibilities

Review the following table to determine your Oracle interMedia Text post-installation tasks.

If You...  Then... 

Installed Oracle interMedia Text from the CD-ROM and you do not have a previous release of interMedia Text installed (formerly called ConText) 

See the description below this table. 

Installed Oracle interMedia Text from the CD-ROM and you do have a previous release of interMedia Text installed (formerly called ConText) 

See Oracle8i interMedia Text Migration. 

Migrated your database, you may need to configure Net8 for external procedures. Otherwise, Oracle interMedia Text may not work. In any case other than migration, Net8 should be configured correctly by default to work with Oracle interMedia Text. 

See the Oracle8i interMedia Text Migration and Oracle8i interMedia Text Reference. 

Are indexing formatted documents such as Microsoft Word 

You must set your environment to use the INSO filter before you can index your documentation set. For more information on setting up your environment for INSO filtering, see Appendix C of the Oracle8i interMedia Text Reference. 

If one of the following is true, the Oracle8i database is already configured for use with Oracle interMedia Text:

If none of these are true, you must configure the Oracle database for use with Oracle interMedia Text by doing one of the following:

Using Oracle Database Configuration Assistant

You can use Oracle Database Configuration Assistant to configure an Oracle8i database for use with Oracle interMedia Text either at the time you create the database or later.

To configure...  Do this... 

At a later time 

  1. Select Modify a database in the Welcome page.

  2. Select the database that you want to modify in the Modify Instance page.

  3. Select Oracle interMedia Text in the Modify Database Cartridges and Options page.

 

Configuring Manually

Manually configuring an Oracle database for use with Oracle interMedia Text consists of creating a tablespace for the Oracle interMedia Text data dictionary tables and then creating the CTXSYS user name and the Oracle interMedia Text data dictionary tables themselves.

To create a tablespace for the Oracle interMedia Text data dictionary tables:

  1. Start SQL*Plus:

    C:\> SQLPLUS
    
  2. Connect as SYS:

    Enter user-name: SYS/PASSWORD
    
  3. Create a tablespace for the Oracle interMedia Text data dictionary tables:

    SQL> CREATE TABLESPACE TABLESPACE_NAME DATAFILE 'ORACLE_BASE\ORADATA\
    DB_NAME\DR01.DBF' SIZE 80M;

To create the CTXSYS user name and the interMedia Text data dictionary tables:

  1. Connect as INTERNAL:

    SQL> CONNECT INTERNAL/PASSWORD
    
  2. Run the DR0CSYS.SQL script to create the CTXSYS user name:

    SQL> @ORACLE_BASE\ORACLE_HOME\CTX\ADMIN\DR0CSYS.SQL PASSWORD 
    DEFAULT_TABLESPACE_NAME TEMPORARY_TABLESPACE_NAME;

    where:

  3. Connect as CTXSYS:

    SQL> CONNECT CTXSYS/PASSWORD
    
  4. Run the DR0INST.SQL script to create and populate the Oracle interMedia Text data dictionary tables:

    SQL> @ORACLE_BASE\ORACLE_HOME\CTX\ADMIN\DR0INST.SQL ORACLE_BASE\
    ORACLE_HOME\CTX\LIB\ORACTXX8.DLL;
  5. Run the language-specific default script, where XX is the language code (for example, US):

    SQL> @ORACLE_BASE\ORACLE_HOME\CTX\ADMIN\DEFAULTS\DRDEFXX.SQL;
    
  6. Exit SQL*Plus:

    SQL> EXIT
    

Oracle Spatial

Oracle Spatial makes the storage, retrieval, and manipulation of spatial data easier and more intuitive to users.

One example of spatial data is a road map. A road map is a two-dimensional object that contains points, lines, and polygons representing cities, roads, and political boundaries such as states. A road map represents geographic information. The locations of cities, roads, and political boundaries are projected onto a two-dimensional display or piece of paper, preserving the relative positions and relative distances of the objects.

Review the following table to determine your configuration responsibilities:

If You...  Then... 

Installed Oracle Spatial through the Oracle8i Enterprise Edition Typical installation type 

No manual configuration is required. All Oracle Spatial configuration tasks described under "Configuring Oracle Spatial" are automatically performed. 

Installed both Oracle Spatial and Oracle8i Server together through the Oracle8i Enterprise Edition Custom installation type 

Oracle Database Configuration Assistant starts at the end of installation. If you select either of the following options:

  • Custom

  • Typical, and then select the Create new database files suboption

Oracle Database Configuration Assistant prompts you about whether or not you want Oracle Spatial to be automatically configured. 

Installed Oracle Spatial during a separate installation from Oracle8i Enterprise Edition 

You must manually configure Oracle Spatialby either:

  • Performing the Oracle Spatial configuration tasks described under "Configuring Oracle Spatial"

  • Starting Oracle Database Configuration Assistant and selecting Modify a database. Then following the on-screen instructions

 

Configuring Oracle Spatial

  1. Start SQL*Plus at the MS-DOS command prompt:

    C:\> SQLPLUS
    
  2. Connect to the database with the INTERNAL account:

    Enter user-name: INTERNAL
    
  3. Start the database (if necessary):

    SQL> STARTUP
    
  4. Run the ORDINST.SQL script:

    SQL> @ORACLE_BASE\ORACLE_HOME\ORD\ADMIN\ORDINST.SQL
    
  5. Connect to the database as the SYSTEM user:

    SQL> CONNECT SYSTEM/PASSWORD
    

    where PASSWORD is MANAGER for the SYSTEM user account by default. If you have changed this password, substitute MANAGER with the correct password.

  6. Run the MDINST.SQL script:

    SQL> @ORACLE_BASE\ORACLE_HOME\MD\ADMIN\MDINST.SQL
    
  7. Exit SQL*Plus:

    SQL> EXIT
    


    Note:

    The script MDINST.SQL has a variable %MD_SYS_PASSWORD% that is instantiated at installation time by Oracle Universal Installer. Therefore, if you have changed the MDSYS user's password, be sure during a manual installation to remember also to update the MDINST.SQL script with that password.  


Oracle Time Series

Oracle Time Series stores and retrieves time-stamped data through object data types (ODTs).

Oracle Time Series is a building block for applications, rather than being an end-user application. For example, applications can use this option to process historical data derived from financial market transactions, such as trades of stocks, bonds, and mutual fund shares. From this you can find the opening, closing, low, and high prices for a stock on a specific date; calculate monthly volumes for a stock for a specific year; and derive the 30-day moving average for a stock over a year.

Oracle Time Series also comes as a set of demos that provide a sample demonstration of how the product works.

Review the following table to determine your configuration responsibilities.

If You...  Then... 

Installed Oracle Time Series through the Oracle8i Enterprise Edition Typical installation type path 

No manual configuration is required. All configuration tasks described under "Configuring Oracle Time Series" are automatically performed.  

Installed both Oracle Time Series and Oracle8i Server together through the Oracle8i Enterprise Edition Custom installation type path 

Oracle Database Configuration Assistant starts at the end of installation. If you select either of the following options:

  • Custom

  • Typical, and then select the Create new database files suboption

Oracle Database Configuration Assistant prompts you about whether or not you want Oracle Time Series to be automatically configured. 

Installed Oracle Time Series during a separate installation from Oracle8i Enterprise Edition 

You must manually configure Oracle Time Series by either:

  • Performing the tasks under "Configuring Oracle Time Series".

  • Starting Oracle Database Configuration Assistant and selecting Modify a database. Then following the onscreen instructions.

 

Want to use the demos 

Perform the tasks described in the following table.  

Manually copy your Oracle7 LISTENER.ORA and TNSNAMES.ORA files into your Oracle8i network directory 

You must modify the TNSNAMES.ORA and LISTENER.ORA network configuration files on your server to enable external procedure calls to work and Oracle Time Series to function properly. Follow the tasks in the Net8 Administrator's Guide

Configuring Oracle Time Series

To configure Oracle Time Series:

  1. Start SQL*Plus:

    C:\> SQLPLUS
    
  2. Connect to the database with the INTERNAL account:

    Enter user-name: INTERNAL
    
  3. Start the database (if necessary):

    SQL> STARTUP
    
  4. Run the ORDINST.SQL script:

    SQL> @ORACLE_BASE\ORACLE_HOME\ORD\ADMIN\ORDINST.SQL
    
  5. Run the TSINST.SQL script:

    SQL> @ORACLE_BASE\ORACLE_HOME\ORD\TS\ADMIN\TSINST.SQL
    
  6. Exit SQL*Plus:

    SQL> EXIT
    

The following Oracle Time Series demos are provided in subdirectories of ORACLE_BASE\ORACLE_HOME\ORD\TS\DEMO.

Configuring Oracle Time Series Demos

Demonstration  Directory  What the Demonstration Does 

Basic usage 

USAGE 

Creates a sample database for use with Oracle Time Series and demonstrates several basic queries. This demo is used as the basis for all demos. 

Option extension 

EXTEND 

Includes sample PL/SQL code to extend the functionality of Oracle Time Series with new functions. Oracle Objects option is required to extend Oracle Time Series. 

OCI 

OCI 

Provides C examples of client-side time series access. 

Pro*C/C++ Precompiler 

PROC 

Provides examples of several approaches to client-side time series access. Users must have Pro*C/C++ to build this demo. 

Developer 2000 

DEV2K 

Includes a Developer 2000 Form that incorporates a Developer 2000 Graphic, both of which access data using Oracle Time Series. This demo requires Developer 2000 release 2.0 or later. 

Quick Start 

TSQUICK 

Provides a quick start. This demo uses TSTools to automate the generation of the Oracle Time Series schema for a stock pricing database, then demonstrates several basic queries. 

Specialized usage 

USAGEUTL 

Targets electrical utility applications. Demonstrates how to compute peak and off-peak summaries of 15-minute data. 

To configure Oracle Time Series demos:

  1. Go to the ORACLE_BASE\ORACLE_HOME\ORD\TS\DEMO directory.

  2. Read the README file in this directory for an overview of the Oracle Time Series demos.

  3. Go to the appropriate subdirectory of ORACLE_BASE\ORACLE_HOME\ORD\TS\DEMO for instructions on configuring the demo that you want to use (for example, directory PROC for Pro*C/C++).

  4. Follow the README file instructions in the subdirectory to configure the demo.


    Note:

    Each of the subdirectories contains a README that provides configuration instructions. 


Oracle Visual Information Retrieval

Oracle Visual Information Retrieval stores, retrieves, and manipulates image data managed by an Oracle8i database.

This option provides image storage, content-based retrieval, and format conversion capabilities through an object data type. This option is a building block for various imaging applications, rather than being an end-user application. Some common applications for this option consist of digital art galleries and museums, real estate marketing, document imaging, and stock photo collections for fashion designers and architects.

Oracle Visual Information Retrieval also provides a sample demonstration, showing how an image is extracted from an Oracle database.

Review the following table to determine your configuration responsibilities.


Note:

When you select installation of Oracle Visual Information Retrieval, Oracle interMedia is installed automatically since Oracle Visual Information Retrieval cannot function properly without it. 


If You...  Then... 

Installed Oracle Visual Information Retrieval through the Oracle8i Enterprise Edition Typical installation type 

No manual configuration is required. All configuration tasks described under "To configure Oracle Visual Information Retrieval:" are automatically performed. 

Installed both Oracle Visual Information Retrieval and Oracle8i Server together through the Oracle8i Enterprise Edition Custom installation type path 

Oracle Database Configuration Assistant starts at the end of installation. If you select either of the following options:

  • Custom

  • Typical, and then select the Create new database files suboption

Oracle Database Configuration Assistant asks if you want Oracle Visual Information Retrieval to be automatically configured. 

Installed Oracle Visual Information Retrieval during a separate installation from Oracle8i Enterprise Edition 

You must manually configure Oracle Visual Information Retrieval by either:

 

Want to use the demonstration 

Perform the configuration tasks described under "Configuring Oracle Visual Information Retrieval"

Want to build an Oracle Visual Information Retrieval sample demonstration. 

Install a C compiler. 

Manually copy your Oracle7 LISTENER.ORA and TNSNAMES.ORA files into your Oracle8i network directory 

You must modify the TNSNAMES.ORA and LISTENER.ORA network configuration files on your server to enable external procedure calls to work and Oracle Visual Information Retrieval to function properly. Follow the tasks in the Net8 Administrator's Guide. 

Configuring Oracle Visual Information Retrieval

To configure Oracle Visual Information Retrieval:

  1. Ensure that Oracle interMedia is already configured. Oracle interMedia must be configured before Oracle Visual Information Retrieval. See the configuration instructions for Oracle interMedia under "Configuring Oracle interMedia, Audio, Video, Image, and Locator Demos" for information about running the ordinst.sql and iminst.sql scripts.

  2. Start SQL*Plus:

    C:\> SQLPLUS
    
  3. Connect to the database with the SYS account:

    SQL> CONNECT SYS/PASSWORD AS SYSDBA
    
  4. Start the database (if necessary):

    SQL> STARTUP
    
  5. Run the VIRINST.SQL script:

    SQL> @ORACLE_BASE\ORACLE_HOME\ORD\VIR\ADMIN\VIRINST.SQL
    
  6. Run the IMINST.SQL script:

    SQL> @ORACLE_BASE\ORACLE_HOME\ORD\IM\ADMIN\IMINST.SQL
    
  7. Exit SQL*Plus:

    SQL> EXIT
    

To configure the Oracle Visual Information Retrieval demonstration:

  1. Go to the ORACLE_BASE\ORACLE_HOME\ORD\VIR\ADMIN directory.

  2. Read the README file in this directory for instructions on configuring the demonstration.

  3. Make the Oracle Visual Information Retrieval demonstration for a Microsoft C compiler by entering:

    C:\> MAKE
    

Multithreaded Server Support

Oracle Database Configuration Assistant lets you enable or disable multithreaded server support in your Oracle8i database.

Multithreaded server mode is also called shared server mode.

If your Oracle8i database is not configured for multithreaded server mode, then it is configured for dedicated server mode.

The following table describes the differences between dedicated server mode and multithreaded server mode.

Mode  Description 

Dedicated server mode  

The Oracle8i database allocates a resource dedicated to serving only that one client connection.

This mode is best used in the following environments:

  • Warehousing environment.

  • A small number of users will connect to your Oracle8i database.

 

Multithreaded server mode (also called shared server mode)  

Enables many client user processes to share a small number of server processes.

Many client users can connect to a dispatcher process. The dispatcher process then routes client requests to the next available shared server process. No dedicated server process exists for each client user process for the duration of the connection. Instead, inactive server processes are recycled and used as needed. This reduces system overhead and enables you to increase the number of supported users.

This mode is best used in the following environments:

  • Online transaction processing (OLTP) environment

  • A large number of users will simultaneously connect to your database

  • You want to use Net8 features such as connection pooling, connection multiplexing, and load balancing

  • Managing and using system resources to a high degree is important

  • Predictable and fast database connection times are very important. This may be a very important criterion for Web applications.

Note: This mode is required for Oracle JServer to function properly. 

See Also:

Net8 Administrator's Guide for more information about the multithreaded server mode.  

There are two types of multithreaded server support:

These types are independent of each other. In other words, you can have any of the following combinations:

The current configuration of your Oracle8i database depends on how the database was installed.

If installed through...  Then the configuration is... 

Oracle8i Enterprise Edition or Oracle8i Typical installation type of Oracle Universal Installer 

multithreaded server mode for IIOP clients and dedicated server mode for two-task Net8 clients 

Oracle8i Enterprise Edition Minimal installation type of Oracle Universal Installer 

Dedicated server mode for both types of clients 

Typical option of Oracle Database Configuration Assistant 

If you selected Oracle JServer, the mode is multithreaded server mode for IIOP clients.

Dedicated server mode for two-task Net8 clients, unless you perform the following sequence of steps:

  1. Run Oracle Database Configuration Assistant.

  2. Select Create a database.

  3. Select Typical.

  4. Select the Create new database files suboption.

  5. Select Online Transaction Processing (OLTP) as your database environment.

  6. Enter 20 or more for the number of concurrent database connections.

This creates a database in multithreaded server mode for two-task Net8 clients. 

Custom option of Oracle Database Configuration Assistant 

Dedicated server mode or multithreaded server mode, depending on what you select when prompted by Oracle Database Configuration Assistant. 

Enabling Multithreaded Server Support for IIOP Clients

Multithreaded server support for IIOP clients is automatically enabled when you install Oracle JServer.

Enabling Multithreaded Server Support for Two-Task Net8 Clients

Multithreaded support for two-task Net8 clients must be enabled manually.

To enable multithreaded server support for two-task Net8 clients:

  1. Choose Start > Programs > Oracle - HOME_NAME > Database Administration > Database Configuration Assistant.

    The Oracle Database Configuration Assistant Welcome page appears.

  2. Select Modify a database and click Next.

  3. Select the Oracle8i database to modify and, if prompted, enter the INTERNAL password.

  4. Click Next.

  5. Select Shared Server Mode and click Next.

  6. Click Next in the Oracle Database Configuration Assistant Welcome page.

  7. Make any necessary changes to the multithreaded server parameters. Click Help for more information about the parameters.

  8. Click Next.

  9. Make any necessary changes to additional multithreaded server parameters. Click Help for more information about the parameters.

  10. Click Finish.

    A dialog box prompts you to select the initialization parameter file to use.

  11. Select the appropriate file and click OK.

    Your initialization parameter file is modified.

  12. Shut down and restart your Oracle8i database for the changes to take effect.

Disabling Multithreaded Server Support for Two-Task Net8 Clients

Multithreaded support for two-task Net8 clients must be disabled manually.

To disable multithreaded server support for two-task Net8 clients:

  1. Choose Start > Programs > Oracle - HOME_NAME > Database Administration > Database Configuration Assistant.

    The Oracle Database Configuration Assistant Welcome page appears.

  2. Select Modify a database and click Next.

  3. Select the Oracle8i database to modify and, if prompted, enter the INTERNAL password.

  4. Click Next.

  5. Select Dedicated Server Mode and click Finish.

    A dialog box prompts you to select the initialization parameter file to use.

  6. Select the appropriate file and click OK.

    Your initialization parameter file is modified.

  7. Shut down and restart your Oracle8i database for the changes to take effect.

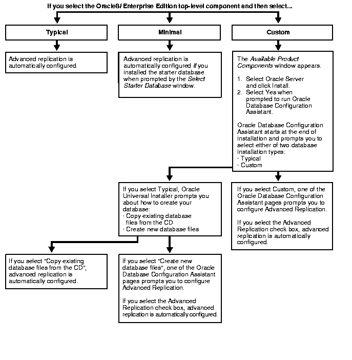
Advanced Replication

This section describes how to configure Advanced Replication in your Oracle8i database.

The following figure describes the situations under which Advanced Replication is configured or not configured.

Follow the instructions only if you want to add Advanced Replication to an Oracle8i database that was not previously configured with this feature.

Configuring Advanced Replication consists of the following steps:

Step 1: Checking Tablespace Requirements

The following are recommended tablespace requirements for Advanced Replication:

Tablespace  Requirement 

SYSTEM 

At least 20 MB of free space is required for replication packages. Replication triggers and procedures are stored here. 

ROLLBACK SEGMENTS 

  • Rollback Initial Extent = 50 KB

  • Rollback Next Extent = 50 KB

 

ROLLBACK  

At least 5 MB of free space. 

TEMPORARY 

At least 10 MB of free space. 

USER 

No specific requirement. 

Step 2: Checking Initialization Parameters

Certain initialization parameter values must be set or added to the INIT.ORA file (recommended values are included) if you use Advanced Replication.

Master Site

Add these initialization parameters to the master site.

Parameter Name  Recommended Value 

JAVA_POOL_SIZE 

20 MB 

DISTRIBUTED_LOCK_TIMEOUT 

300 seconds 

DISTRIBUTED_TRANSACTIONS 

GLOBAL_NAMES 

TRUE 

OPEN_LINKS 

PROCESSES 

Add 9 to current value 

JOB_QUEUE_PROCESSES 

2 (depends on number of n-way sites) 

JOB_QUEUE_INTERVAL 

10 s 

Snapshot Sites

Add these initialization parameters for snapshot sites.

Parameter Name  Recommended Value 

JOB_QUEUE_PROCESSES 

2

 

JOB_QUEUE_INTERVAL

 

60 s 

Step 3: Performing Configuration Tasks

After setting up the INIT.ORA file with the initialization parameters for Advanced Replication, perform the following steps:

To configure Advanced Replication:

  1. Start SQL*Plus:

    C:\> SQLPLUS 
    
  2. Connect to the database with the INTERNAL account:

    Enter user-name: INTERNAL
    
  3. Start the database if it is not currently running:

    SQL> STARTUP
    
  4. Spool output to a log file first before running the necessary SQL script.

    Enter the following command:

    SQL> SPOOL OUTPUT.LOG
    

    This creates a file called OUTPUT.LOG to which to output all on-screen activity while the SPOOL session is open.

  5. Run the CATREP.SQL script once the database has started.The script is found in the ORACLE_BASE\ORACLE_HOME\RDBMS\ADMIN directory, and takes approximately one hour to run.

    SQL> @ORACLE_BASE\ORACLE_HOME\RDBMS\ADMIN\CATREP.SQL
    
  6. Close the SPOOL file when the script has run completely:

    SQL> SPOOL OFF
    

    OUTPUT.LOG is saved to your current directory.

  7. Confirm that CATREP.SQL ran correctly by running a query on ALL_OBJECTS where STATUS = 'INVALID':

    SQL> SELECT * FROM ALL_OBJECTS WHERE STATUS = 'INVALID';
    

    If all package bodies compiled successfully, the following message displays:

    0 rows selected.
    

    If you find that any of the package bodies compiled incorrectly, recompile them manually. The syntax for running them manually follows:

    SQL> ALTER PACKAGE PACKAGE_NAME COMPILE BODY;
    

    If CATREP.SQL ran successfully, a number of replication tables are created in the SYSTEM tablespace. The database is now set up for Advanced Replication support.

  8. Exit SQL*Plus:

    SQL> EXIT
    
  9. See Oracle8i Replication for details on setting up the following:

Step 4: Monitoring Data Dictionary Tables

The practical limit to the number of master sites an environment can have is 36. The processes SNP0 to SNP9 (total of 10) and SNPA to SNPZ (total of 26) each handle one destination master at a time.

If you use Advanced Replication and intend to set up a large number of replicated objects, monitor the following data dictionary tables with the SQL SELECT command:

If necessary, increase the storage parameters to accommodate the storage requirements of large numbers of replicated objects.

Step 5: Upgrading Advanced Replication

If you are upgrading from a previous version of the Oracle database and want to use Advanced Replication, you must first complete the upgrade. See Oracle8i Migration.

Because advanced replication is an advanced feature, see Oracle8i Replication for a presentation of its basic concepts before proceeding. For information about available training, contact Oracle Education or see Oracle Metalink.


Prev Next
Oracle
Copyright © 2000 Oracle Corporation.

All Rights Reserved.

Library

Product

Contents

Index