PL/SQL User's Guide and Reference
Release 8.1.6

A77069-01

Library

Product

Contents

Index

Prev Next

3
Control Structures

One ship drives east and another drives west
With the selfsame winds that blow.
'Tis the set of the sails and not the gales
Which tells us the way to go. --Ella Wheeler Wilcox

This chapter shows you how to structure the flow of control through a PL/SQL program. You learn how statements are connected by simple but powerful control structures that have a single entry and exit point. Collectively, these structures can handle any situation. Their proper use leads naturally to a well-structured program.

Major Topics
Overview
Conditional Control: IF Statements
Iterative Control: LOOP and EXIT Statements
Sequential Control: GOTO and NULL Statements

Overview

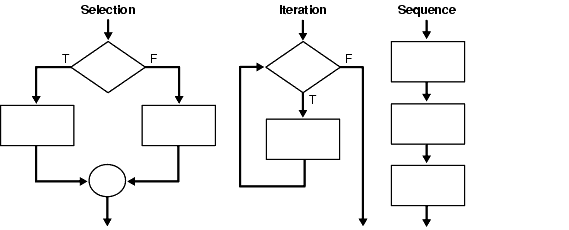
According to the structure theorem, any computer program can be written using the basic control structures shown in Figure 3-1. They can be combined in any way necessary to deal with a given problem.

Figure 3-1 Control Structures


The selection structure tests a condition, then executes one sequence of statements instead of another, depending on whether the condition is true or false. A condition is any variable or expression that returns a Boolean value (TRUE or FALSE). The iteration structure executes a sequence of statements repeatedly as long as a condition holds true. The sequence structure simply executes a sequence of statements in the order in which they occur.

Conditional Control: IF Statements

Often, it is necessary to take alternative actions depending on circumstances. The IF statement lets you execute a sequence of statements conditionally. That is, whether the sequence is executed or not depends on the value of a condition. There are three forms of IF statements: IF-THEN, IF-THEN-ELSE, and IF-THEN-ELSIF.

IF-THEN

The simplest form of IF statement associates a condition with a sequence of statements enclosed by the keywords THEN and END IF (not ENDIF), as follows:

IF condition THEN
   sequence_of_statements
END IF;

The sequence of statements is executed only if the condition is true. If the condition is false or null, the IF statement does nothing. In either case, control passes to the next statement. An example follows:

IF sales > quota THEN
   compute_bonus(empid);
   UPDATE payroll SET pay = pay + bonus WHERE empno = emp_id;
END IF;

You might want to place brief IF statements on a single line, as in

IF x > y THEN high := x; END IF;

IF-THEN-ELSE

The second form of IF statement adds the keyword ELSE followed by an alternative sequence of statements, as follows:

IF condition THEN
   sequence_of_statements1
ELSE
   sequence_of_statements2
END IF;

The sequence of statements in the ELSE clause is executed only if the condition is false or null. Thus, the ELSE clause ensures that a sequence of statements is executed. In the following example, the first UPDATE statement is executed when the condition is true, but the second UPDATE statement is executed when the condition is false or null:

IF trans_type = 'CR' THEN
   UPDATE accounts SET balance = balance + credit WHERE ...
ELSE
   UPDATE accounts SET balance = balance - debit WHERE ...
END IF;

The THEN and ELSE clauses can include IF statements. That is, IF statements can be nested, as the following example shows:

IF trans_type = 'CR' THEN
   UPDATE accounts SET balance = balance + credit WHERE ...
ELSE
   IF new_balance >= minimum_balance THEN
      UPDATE accounts SET balance = balance - debit WHERE ...
   ELSE
      RAISE insufficient_funds;
   END IF;
END IF;

IF-THEN-ELSIF

Sometimes you want to select an action from several mutually exclusive alternatives. The third form of IF statement uses the keyword ELSIF (not ELSEIF) to introduce additional conditions, as follows:

IF condition1 THEN
   sequence_of_statements1
ELSIF condition2 THEN
   sequence_of_statements2
ELSE
   sequence_of_statements3
END IF;

If the first condition is false or null, the ELSIF clause tests another condition. An IF statement can have any number of ELSIF clauses; the final ELSE clause is optional. Conditions are evaluated one by one from top to bottom. If any condition is true, its associated sequence of statements is executed and control passes to the next statement. If all conditions are false or null, the sequence in the ELSE clause is executed. Consider the following example:

BEGIN
   ...
   IF sales > 50000 THEN
      bonus := 1500;
   ELSIF sales > 35000 THEN
      bonus := 500;
   ELSE
      bonus := 100;
   END IF;
   INSERT INTO payroll VALUES (emp_id, bonus, ...);
END;

If the value of sales is larger than 50000, the first and second conditions are true. Nevertheless, bonus is assigned the proper value of 1500 because the second condition is never tested. When the first condition is true, its associated statement is executed and control passes to the INSERT statement.

Guidelines

Avoid clumsy IF statements like those in the following example:

DECLARE
   ...
   overdrawn  BOOLEAN;
BEGIN
   ...
   IF new_balance < minimum_balance THEN
      overdrawn := TRUE;
   ELSE
      overdrawn := FALSE;
   END IF;
   ...
   IF overdrawn = TRUE THEN
      RAISE insufficient_funds;
   END IF;
END;

This code disregards two useful facts. First, the value of a Boolean expression can be assigned directly to a Boolean variable. So, you can replace the first IF statement with a simple assignment, as follows:

overdrawn := new_balance < minimum_balance;

Second, a Boolean variable is itself either true or false. So, you can simplify the condition in the second IF statement, as follows:

IF overdrawn THEN ...

When possible, use the ELSIF clause instead of nested IF statements. That way, your code will be easier to read and understand. Compare the following IF statements:

IF condition1 THEN           |     IF condition1 THEN
   statement1;               |        statement1; 
ELSE                         |     ELSIF condition2 THEN 
   IF condition2 THEN        |        statement2; 
      statement2;            |     ELSIF condition3 THEN 
   ELSE                      |        statement3; 
      IF condition3 THEN     |     END IF;
         statement3;         |
      END IF;                |
   END IF;                   |
END IF;                      |

These statements are logically equivalent, but the first statement obscures the flow of logic, whereas the second statement reveals it.

Iterative Control: LOOP and EXIT Statements

LOOP statements let you execute a sequence of statements multiple times. There are three forms of LOOP statements: LOOP, WHILE-LOOP, and FOR-LOOP.

LOOP

The simplest form of LOOP statement is the basic (or infinite) loop, which encloses a sequence of statements between the keywords LOOP and END LOOP, as follows:

LOOP
   sequence_of_statements
END LOOP;

With each iteration of the loop, the sequence of statements is executed, then control resumes at the top of the loop. If further processing is undesirable or impossible, you can use an EXIT statement to complete the loop. You can place one or more EXIT statements anywhere inside a loop, but nowhere outside a loop. There are two forms of EXIT statements: EXIT and EXIT-WHEN.

EXIT

The EXIT statement forces a loop to complete unconditionally. When an EXIT statement is encountered, the loop completes immediately and control passes to the next statement. An example follows:

LOOP
   ...
   IF credit_rating < 3 THEN
      ...
      EXIT;  -- exit loop immediately
   END IF;
END LOOP;
-- control resumes here

The next example shows that you cannot use the EXIT statement to complete a PL/SQL block:

BEGIN
   ...
   IF credit_rating < 3 THEN
      ...
      EXIT;  -- illegal
   END IF;
END;

Remember, the EXIT statement must be placed inside a loop. To complete a PL/SQL block before its normal end is reached, you can use the RETURN statement. For more information, see "Using the RETURN Statement".

EXIT-WHEN

The EXIT-WHEN statement allows a loop to complete conditionally. When the EXIT statement is encountered, the condition in the WHEN clause is evaluated. If the condition is true, the loop completes and control passes to the next statement after the loop. An example follows:

LOOP
   FETCH c1 INTO ...
   EXIT WHEN c1%NOTFOUND;  -- exit loop if condition is true
   ...
END LOOP;
CLOSE c1;

Until the condition is true, the loop cannot complete. So, a statement inside the loop must change the value of the condition. In the last example, if the FETCH statement returns a row, the condition is false. When the FETCH statement fails to return a row, the condition is true, the loop completes, and control passes to the CLOSE statement.

The EXIT-WHEN statement replaces a simple IF statement. For example, compare the following statements:

IF count > 100 THEN     |     EXIT WHEN count > 100;
   EXIT;                |
END IF;                 |

These statements are logically equivalent, but the EXIT-WHEN statement is easier to read and understand.

Loop Labels

Like PL/SQL blocks, loops can be labeled. The label, an undeclared identifier enclosed by double angle brackets, must appear at the beginning of the LOOP statement, as follows:

<<label_name>>
LOOP
   sequence_of_statements
END LOOP;

Optionally, the label name can also appear at the end of the LOOP statement, as the following example shows:

<<my_loop>>
LOOP
   ...
END LOOP my_loop;

When you nest labeled loops, you can use ending label names to improve readability.

With either form of EXIT statement, you can complete not only the current loop, but any enclosing loop. Simply label the enclosing loop that you want to complete. Then, use the label in an EXIT statement, as follows:

<<outer>>
LOOP
   ...
   LOOP
      ...
      EXIT outer WHEN ...  -- exit both loops
   END LOOP;
   ...
END LOOP outer;

Every enclosing loop up to and including the labeled loop is exited.

WHILE-LOOP

The WHILE-LOOP statement associates a condition with a sequence of statements enclosed by the keywords LOOP and END LOOP, as follows:

WHILE condition LOOP
   sequence_of_statements
END LOOP;

Before each iteration of the loop, the condition is evaluated. If the condition is true, the sequence of statements is executed, then control resumes at the top of the loop. If the condition is false or null, the loop is bypassed and control passes to the next statement. An example follows:

WHILE total <= 25000 LOOP
   ...
   SELECT sal INTO salary FROM emp WHERE ...
   total := total + salary;
END LOOP;

The number of iterations depends on the condition and is unknown until the loop completes. The condition is tested at the top of the loop, so the sequence might execute zero times. In the last example, if the initial value of total is larger than 25000, the condition is false and the loop is bypassed.

Some languages have a LOOP UNTIL or REPEAT UNTIL structure, which tests the condition at the bottom of the loop instead of at the top. Therefore, the sequence of statements is executed at least once. PL/SQL has no such structure, but you can easily build one, as follows:

LOOP
   sequence_of_statements
   EXIT WHEN boolean_expression;
END LOOP;

To ensure that a WHILE loop executes at least once, use an initialized Boolean variable in the condition, as follows:

done := FALSE;
WHILE NOT done LOOP
   sequence_of_statements
   done := boolean_expression;
END LOOP;

A statement inside the loop must assign a new value to the Boolean variable. Otherwise, you have an infinite loop. For example, the following LOOP statements are logically equivalent:

WHILE TRUE LOOP     |     LOOP
   ...              |       ...
END LOOP;           |     END LOOP;

FOR-LOOP

Whereas the number of iterations through a WHILE loop is unknown until the loop completes, the number of iterations through a FOR loop is known before the loop is entered. FOR loops iterate over a specified range of integers. (Cursor FOR loops, which iterate over the result set of a cursor, are discussed in Chapter 5.) The range is part of an iteration scheme, which is enclosed by the keywords FOR and LOOP. A double dot (..) serves as the range operator. The syntax follows:

FOR counter IN [REVERSE] lower_bound..higher_bound LOOP
   sequence_of_statements
END LOOP;

The range is evaluated when the FOR loop is first entered and is never re-evaluated.

As the next example shows, the sequence of statements is executed once for each integer in the range. After each iteration, the loop counter is incremented.

FOR i IN 1..3 LOOP  -- assign the values 1,2,3 to i
   sequence_of_statements  -- executes three times
END LOOP;

The following example shows that if the lower bound equals the higher bound, the sequence of statements is executed once:

FOR i IN 3..3 LOOP  -- assign the value 3 to i
   sequence_of_statements  -- executes one time
END LOOP;

By default, iteration proceeds upward from the lower bound to the higher bound. However, as the example below shows, if you use the keyword REVERSE, iteration proceeds downward from the higher bound to the lower bound. After each iteration, the loop counter is decremented. Nevertheless, you write the range bounds in ascending (not descending) order.

FOR i IN REVERSE 1..3 LOOP  -- assign the values 3,2,1 to i
   sequence_of_statements  -- executes three times
END LOOP;

Inside a FOR loop, the loop counter can be referenced like a constant but cannot be assigned values, as the following example shows:

FOR ctr IN 1..10 LOOP
   IF NOT finished THEN
      INSERT INTO ... VALUES (ctr, ...);  -- legal
      factor := ctr * 2;  -- legal
   ELSE
      ctr := 10;  -- illegal
   END IF;
END LOOP;

Iteration Schemes

The bounds of a loop range can be literals, variables, or expressions but must evaluate to numbers. Otherwise, PL/SQL raises the predefined exception VALUE_ERROR. The lower bound need not be 1, as the examples below show. However, the loop counter increment (or decrement) must be 1.

j IN -5..5
k IN REVERSE first..last
step IN 0..TRUNC(high/low) * 2

Internally, PL/SQL assigns the values of the bounds to temporary PLS_INTEGER variables, and, if necessary, rounds the values to the nearest integer. The magnitude range of a PLS_INTEGER is -2**31 .. 2**31. So, if a bound evaluates to a number outside that range, you get a numeric overflow error when PL/SQL attempts the assignment, as the following example shows:

DECLARE
   hi NUMBER := 2**32;
BEGIN
   FOR j IN 1..hi LOOP  -- causes a 'numeric overflow' error
      ...
   END LOOP;
END;

Some languages provide a STEP clause, which lets you specify a different increment (5 instead of 1 for example). PL/SQL has no such structure, but you can easily build one. Inside the FOR loop, simply multiply each reference to the loop counter by the new increment. In the following example, you assign today's date to elements 5, 10, and 15 of an index-by table:

DECLARE
   TYPE DateList IS TABLE OF DATE INDEX BY BINARY_INTEGER;
   dates DateList;
   k CONSTANT INTEGER := 5;  -- set new increment
BEGIN
   FOR j IN 1..3 LOOP
      dates(j*k) := SYSDATE;  -- multiply loop counter by increment
   END LOOP;
   ...
END;

Dynamic Ranges

PL/SQL lets you determine the loop range dynamically at run time, as the following example shows:

SELECT COUNT(empno) INTO emp_count FROM emp;
FOR i IN 1..emp_count LOOP
   ...
END LOOP;

The value of emp_count is unknown at compile time; the SELECT statement returns the value at run time.

What happens if the lower bound of a loop range evaluates to a larger integer than the upper bound? As the next example shows, the sequence of statements within the loop is not executed and control passes to the next statement:

-- limit becomes 1
FOR i IN 2..limit LOOP
   sequence_of_statements  -- executes zero times
END LOOP;
-- control passes here

Scope Rules

The loop counter is defined only within the loop. You cannot reference it outside the loop. After the loop is exited, the loop counter is undefined, as the following example shows:

FOR ctr IN 1..10 LOOP
   ...
END LOOP;
sum := ctr - 1;  -- illegal

You need not explicitly declare the loop counter because it is implicitly declared as a local variable of type INTEGER. The next example shows that the local declaration hides any global declaration:

DECLARE
   ctr  INTEGER;
BEGIN
   ...
   FOR ctr IN 1..25 LOOP
      ...
      IF ctr > 10 THEN ...  -- refers to loop counter
   END LOOP;
END;

To reference the global variable in this example, you must use a label and dot notation, as follows:

<<main>>
DECLARE
   ctr  INTEGER;
   ...
BEGIN
   ...
   FOR ctr IN 1..25 LOOP
      ...
      IF main.ctr > 10 THEN  -- refers to global variable
         ...
      END IF;
   END LOOP;
END main;

The same scope rules apply to nested FOR loops. Consider the example below. Both loop counters have the same name. So, to reference the outer loop counter from the inner loop, you must use a label and dot notation, as follows:

<<outer>>
FOR step IN 1..25 LOOP
   FOR step IN 1..10 LOOP
      ...
      IF outer.step > 15 THEN ...
   END LOOP;
END LOOP outer;

Using the EXIT Statement

The EXIT statement allows a FOR loop to complete prematurely. For example, the following loop normally executes ten times, but as soon as the FETCH statement fails to return a row, the loop completes no matter how many times it has executed:

FOR j IN 1..10 LOOP
   FETCH c1 INTO emp_rec;
   EXIT WHEN c1%NOTFOUND;
   ...
END LOOP;

Suppose you must exit from a nested FOR loop prematurely. You can complete not only the current loop, but any enclosing loop. Simply label the enclosing loop that you want to complete. Then, use the label in an EXIT statement to specify which FOR loop to exit, as follows:

<<outer>>
FOR i IN 1..5 LOOP
   ...
   FOR j IN 1..10 LOOP
      FETCH c1 INTO emp_rec;
      EXIT outer WHEN c1%NOTFOUND;  -- exit both FOR loops
      ...
   END LOOP;
END LOOP outer;
-- control passes here

Sequential Control: GOTO and NULL Statements

Unlike the IF and LOOP statements, the GOTO and NULL statements are not crucial to PL/SQL programming. The structure of PL/SQL is such that the GOTO statement is seldom needed. Occasionally, it can simplify logic enough to warrant its use. The NULL statement can improve readability by making the meaning and action of conditional statements clear.

Overuse of GOTO statements can result in complex, unstructured code (sometimes called spaghetti code) that is hard to understand and maintain. So, use GOTO statements sparingly. For example, to branch from a deeply nested structure to an error-handling routine, raise an exception rather than use a GOTO statement.

GOTO Statement

The GOTO statement branches to a label unconditionally. The label must be unique within its scope and must precede an executable statement or a PL/SQL block. When executed, the GOTO statement transfers control to the labeled statement or block. In the following example, you go to an executable statement farther down in a sequence of statements:

BEGIN
   ...
   GOTO insert_row;
   ...
   <<insert_row>>
   INSERT INTO emp VALUES ...
END;

In the next example, you go to a PL/SQL block farther up in a sequence of statements:

BEGIN
   ...
   <<update_row>>
   BEGIN
      UPDATE emp SET ...
      ...
   END;
   ...
   GOTO update_row;
   ...
END;

The label end_loop in the following example is illegal because it does not precede an executable statement:

DECLARE
   done  BOOLEAN;
BEGIN
   ...
   FOR i IN 1..50 LOOP
      IF done THEN
         GOTO end_loop;
      END IF;
      ...
   <<end_loop>>  -- illegal
   END LOOP;  -- not an executable statement
END;

To debug the last example, just add the NULL statement, as follows:

FOR i IN 1..50 LOOP
   IF done THEN
      GOTO end_loop;
   END IF;
   ...
<<end_loop>>
NULL;  -- an executable statement
END LOOP;

As the following example shows, a GOTO statement can branch to an enclosing block from the current block:

DECLARE
   my_ename  CHAR(10);
BEGIN
   <<get_name>>
   SELECT ename INTO my_ename FROM emp WHERE ...
   BEGIN
      ...
      GOTO get_name;  -- branch to enclosing block
   END;
END;

The GOTO statement branches to the first enclosing block in which the referenced label appears.

Restrictions

Some possible destinations of a GOTO statement are illegal. Specifically, a GOTO statement cannot branch into an IF statement, LOOP statement, or sub-block. For example, the following GOTO statement is illegal:

BEGIN
   ...
   GOTO update_row;  -- illegal branch into IF statement
   ...
   IF valid THEN
      ...
      <<update_row>>
      UPDATE emp SET ...
   END IF;
END;

Also, a GOTO statement cannot branch from one IF statement clause to another, as the following example shows:

BEGIN
   ...
   IF valid THEN
      ...
      GOTO update_row;  -- illegal branch into ELSE clause
   ELSE
      ...
      <<update_row>>
      UPDATE emp SET ...
   END IF;
END;

The next example shows that a GOTO statement cannot branch from an enclosing block into a sub-block:

BEGIN
   ...
   IF status = 'OBSOLETE' THEN
      GOTO delete_part;  -- illegal branch into sub-block
   END IF;
   ...
   BEGIN
      ...
      <<delete_part>>
      DELETE FROM parts WHERE ...
   END;
END;

Also, a GOTO statement cannot branch out of a subprogram, as the following example shows:

DECLARE
   ...
   PROCEDURE compute_bonus (emp_id NUMBER) IS
   BEGIN
      ...
      GOTO update_row;  -- illegal branch out of subprogram
   END;
BEGIN
   ...
   <<update_row>>
   UPDATE emp SET ...
END;

Finally, a GOTO statement cannot branch from an exception handler into the current block. For example, the following GOTO statement is illegal:

DECLARE
   ...
   pe_ratio  REAL;
BEGIN
   ...
   SELECT price / NVL(earnings, 0) INTO pe_ratio FROM ...
   <<insert_row>>
   INSERT INTO stats VALUES (pe_ratio, ...);
EXCEPTION
   WHEN ZERO_DIVIDE THEN
      pe_ratio := 0;
      GOTO insert_row;  -- illegal branch into current block
END;

However, a GOTO statement can branch from an exception handler into an enclosing block.

NULL Statement

The NULL statement explicitly specifies inaction; it does nothing other than pass control to the next statement. It can, however, improve readability. In a construct allowing alternative actions, the NULL statement serves as a placeholder. It tells readers that the associated alternative has not been overlooked, but that indeed no action is necessary. In the following example, the NULL statement shows that no action is taken for unnamed exceptions:

EXCEPTION
   WHEN ZERO_DIVIDE THEN
      ROLLBACK;
   WHEN VALUE_ERROR THEN
      INSERT INTO errors VALUES ...
      COMMIT;
   WHEN OTHERS THEN
      NULL;
END;

Each clause in an IF statement must contain at least one executable statement. The NULL statement is executable, so you can use it in clauses that correspond to circumstances in which no action is taken. In the following example, the NULL statement emphasizes that only top-rated employees get bonuses:

IF rating > 90 THEN
   compute_bonus(emp_id);
ELSE
   NULL;
END IF;

Also, the NULL statement is a handy way to create stubs when designing applications from the top down. A stub is dummy subprogram that allows you to defer the definition of a procedure or function until you test and debug the main program. In the following example, the NULL statement meets the requirement that at least one statement must appear in the executable part of a subprogram:

PROCEDURE debit_account (acct_id INTEGER, amount REAL) IS
BEGIN
   NULL;
END debit_account;

Prev Next
Oracle
Copyright © 1999 Oracle Corporation.

All Rights Reserved.

Library

Product

Contents

Index